Лабораторна робота. Спостерігання, розширення твердих тіл, рідин і газів
Лабораторна робота ЗАВАНТАЖИТИ
Визначення коефіцієнта лінійного розширення твердого тіла
Мета: спостерігати явище теплового розширення твердих тіл, рідин і газів.
Визначити, як температура впливає на об’єм різних тіл. Навчитися безпечно проводити експерименти з нагріванням і охолодженням речовин. Познайомитися з одним із методів визначення коефіцієнту лінійного розширення твердого тіла.
Обладнання: лінійка, колба з водою, металевий стержень, електрична плитка, гумова трубка, метр, термометр, штатив лабораторний.
Хід роботи
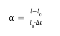
Усі предмети при нагріванні змінюють свої розміри і, як правило, розширюються. Для різних предметів це розширення різне, а потому для його визначення уводиться так званий коефіцієнт лінійного розширення. Коефіцієнт лінійного розширення визначається відношенням:

lо – довжина стержня при 0°С.
l – довжина стержня при температурі t.
t – температура, до якої нагріли.
На практиці коефіцієнт лінійного розширення визначають за приблизною формулою в котрій замість l0 беруть l1 (довжина стержня при кімнатній температурі) і ∆t=t-t1
Неточність, яка з’являється при цьому обчисленні настільки маленька, що нею можна знехтувати. Вона зумовлена тим, що подовження всього стержня при нагріванні на 1°С відноситься не до одинці довжини при 0°С, а до одинці довжини при кімнатній температурі.
| № | t1,оС | t2,оС | l1, м | ∆l, мм | α, 1К | Матеріал | Табличне значення α, 1К |
| 1 | |||||||
| 2 |
Визначити відносну та абсолютну похибку вимірів, порівнявши з табличним значенням.

Додаткове завдання
Улітку за температури 30°С залізний дріт між двома стовпами лінії електропередач має довжину 50м. Як зміниться його довжина взимку, коли температура повітря становить -20°С?
Висновок: сформулюйте висновок, у якому укажіть 1) яку величину ви вимірювали; 2) які похибки та неточності експерименту були наявні.